The goal of a financial manager is to
Maximize shareholder value while accounting for the impact of her decisions on all stakeholders of the firm
1/9
| Term | Definition |
|---|---|
The goal of a financial manager is to | Maximize shareholder value while accounting for the impact of her decisions on all stakeholders of the firm |
Present value formula | ![]() |
Present value formula for perpetuity | PV0= C/r
r: Interest rate on perpetuity
C: Cash payment
PVP: Present value of perpetuity |
Perpetuity | constant stream of cash flows that lasts forever |
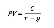
PV of growing perpetuity | ![]() |
Annuity | Equally spaced level stream of cashflows |
Present value of t year Annuity (PVA) | ![]() |
Future Value of Annuity | ![]() |
Net Present Value (NPV) | NPV=PV0(Cash inflows)-PV0 (Cash outflows) |



